básico Corantes Fabricante Fornecedor Exportador

Basic Dyes

Alliance Organics is a leading manufacturer of basic dyes. We offer our expertise, to two major sectors, the paper and the Ink industry. Though we are a manufacturing company for basic dyes in India our services are not only limited to our country but revolve around several places. USA, China, Indonesia, Russia and Brazil are the witnesses to the global exports of this basic dye manufacturer. Amongst other basic violet 10 dyes manufacturers in India, we manufacture high quality basic violet 10 dyes for Food, Ink, Leather and Paint Dyestuffs.

Product Name

BASIC AURAMINE O

CIA constitution

BASIC YELLOW 2

básico Auramine O Yello 2 Fabricante Fornecedor Exportador
Application

Used for silk, acrylic, tannin mordant dyeing cotton dyeing, also can be used for leather, paper, hemp and glue directly printing and dyeing, the discharge printing.

CAS No.

2465-27-2

Appearance

Yellow

Color Index Number:

41000

Product Name

BASIC AURAMINE OF
Spirit Soluble

CIA constitution

BASIC YELLOW 2

básico Auramine of Spirit Soluble Yello 2 Fabricante Fornecedor Exportador
Application

Used for silk, acrylic, tannin mordant dyeing cotton dyeing, also can be used for leather, paper, hemp and glue directly printing and dyeing, the discharge printing.

CAS No.

2465-27-2

Appearance

Yellow

Color Index Number:

41000

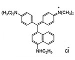
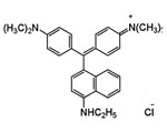
Product Name

BASIC RHODAMINE B

CIA constitution

BASIC VIOLET 10

básico Rhodamine B Tolet 10 Fabricante Fornecedor Exportador
CAS No.

81-88-9

Appearance

Violet

Color Index Number:

45170

Product Name

BASIC METHYL VIOLET

CIA constitution

BASIC VIOLET 1

básico Methyl Tolet 1 Fabricante Fornecedor Exportador
CAS No.

8004-87-3

Appearance

Green crystalline powder with metal lustre

Color Index Number:

42535

Product Name

BASIC CRYSTAL VIOLET

CIA constitution

BASIC VIOLET 3

básico Crystal Tolet 3 Fabricante Fornecedor Exportador
Application

This dye is exclusively used in forensics and to develop fingerprints.

CAS No.

548-62-9

Appearance

Green crystalline powder with metal lustre

Color Index Number:

42555

Product Name

BASIC VICTORIA BLUE B

CIA constitution

BASIC BLUE 26

básico Victoria Azul B 26 Fabricante Fornecedor Exportador
Application

Used for silk, wool dyeing, also used in bamboo, wood, printing paper and ordinary paper shading, is used to make organic pigments and solvent dye.

CAS No.

2580-56-5

Appearance

Bright brown powder

Color Index Number:

44045

Product Name

BASIC VICTORIA BLUE R

CIA constitution

BASIC BLUE 11

básico Victoria Azul R 11 Fabricante Fornecedor Exportador
Application

Used for silk, wool, cotton cloth tannins mordant dyeing of dyeing, also used in linen, leather, paper, bamboo, wood color, also used in the manufacture of dyes and organic solvent paint.

CAS No.

2185-86-6

Appearance

Dark blue crystalline powder

Product Name

BASIC MALACHITE
GREEN

CIA constitution

BASIC GREEN 4

básico Malachite Verde 4 Fabricante Fornecedor Exportador
CAS No.

2437-29-8

Appearance

Dark green crystals with a metallic luster

Color Index Number:

42000

Product Name

BASIC BRILLIANT
GREEN

CIA constitution

Basic Green 1

básico Brilliant Verde 1 Fabricante Fornecedor Exportador
CAS No.

633-03-4

Appearance

Dark green crystals with a metallic luster

Color Index Number:

42040

Product Name

BASIC METHYL VIOLET

Liquid 50%

CAS No.

8004-87-3

72102-55-7

básico Methyl Tolet Liquid 50% Fabricante Fornecedor Exportador
CIA Constitution

BASIC VIOLET 1

Appearance

Green crystalline powder with metal lustre

Color Index Number:

42535

Product Name

BASIC CRYSTAL VIOLET

Liquid 50%

CAS No.

548-62-9

67939-65-5

básico Crystal Tolet Liquid 50% Fabricante Fornecedor Exportador
Application

This dye is exclusively used in forensics and to develop fingerprints.

CIA Constitution

BASIC VIOLET 3

Appearance

Green crystalline powder with metal lustre

Color Index Number:

42555

Product Name

BASIC ETHYL VIOLET

Liquid 50%

CAS No.

2340-59-2

2390-59-2

básico Ethyl Tolet Liquid 50% Fabricante Fornecedor Exportador
Application

The strong sulfuric acid in orange, yellow to orange for diluted green. The dye solution to join sodium hydroxide have grey purple precipitation.

CIA Constitution

BASIC VIOLET 4

Appearance

Blue purple

Color Index Number:

42600

Product Name

BASIC VICTORIA BLUE B

Liquid 40%

CAS No.

2580-56-5

83803-79-6

básico Victoria Azul B Liquid 40% Fabricante Fornecedor Exportador
CIA Constitution

BASIC BLUE 26

Appearance

Bright brown powder

Color Index Number:

44040/44045

Product Name

BASIC VICTORIA BLUE R

CAS No.

2185-86-6

básico Victoria Azul R Fabricante Fornecedor Exportador
Application

Used for silk, wool, cotton cloth tannins mordant dyeing of dyeing, also used in linen, leather, paper, bamboo, wood color, also used in the manufacture of dyes and organic solvent paint.

CIA constitution

BASIC BLUE 11

Appearance

Dark blue crystalline powder

Color Index Number:

52015

Product Name

BASIC RHODAMINE B

Liquid 40%

CAS No.

81-88-9

-

básico Rhodamine B Liquid 40% Fabricante Fornecedor Exportador
CIA constitution

BASIC VIOLET 10

Appearance

Violet

Color Index Number:

42510/45170

Product Name

BASIC MAGENTA
POWDER

CAS No.

3248-91-7

básico Magenta Powder Fabricante Fornecedor Exportador
Application

The strong sulfuric acid for yellow until golden brown, diluted into light yellow. Dyes to join sodium hydroxide solution appears orange brown precipitation.

CIA constitution

BASIC VIOLET 2

Appearance

Dark red light purple

Color Index Number:

42510

Product Name

BASIC BRILLIANT
GREEN

Liquid 50%

CAS No.

633-13-4

76994-37-1

básico Brilliant Verde Liquid 50% Fabricante Fornecedor Exportador
CIA constitution

BASIC GREEN 1

Appearance

Dark green crystals with a metallic luster

Color Index Number:

42040

Product Name

BASIC MALACHITE
GREEN

Liquid 50%

CAS No.

569-64-2

41272-40-6

básico Malachite Verde Liquid 50% Fabricante Fornecedor Exportador
CIA constitution

BASIC GREEN 4

Appearance

Dark green crystals with a metallic luster

Color Index Number:

42000

Product Name

BASIC CHRYSOIDINE Y

Liquid 35%

CAS No.

532-82-1

-

Application

Red-brown powder, large black shiny crystals with a green luster or purple powder.

CIA constitution

BASIC ORANGE 2

Appearance

Deep Purple Crystalline Powder

Color Index Number:

11270

Product Name

BASIC AURAMINE O

CAS No.

2465-27-2

Application

Used for silk, acrylic, tannin mordant dyeing cotton dyeing, also can be used for leather, paper, hemp and glue directly printing and dyeing, the discharge printing.

CIA constitution

BASIC YELLOW 2

Appearance

Yellow

Color Index Number:

41000

Product Name

BASIC BISMARK
BROWN G

Liquid 30%

CAS No.

10114-58-6

10114-58-6

CIA constitution

BASIC BROWN 1

Appearance

Purple to red-brown crystals

Color Index Number:

21000

Product Name

BASIC METHYLENE
BLUE 2B

CAS No.

61-73-4

CIA constitution

BASIC BLUE 9

Appearance

Green fine crystalline powder

Color Index Number:

52015

Product Name

BASIC AURAMINE O

CIA constitution

BASIC YELLOW 2

básico Auramine O Yello 2 Fabricante Fornecedor Exportador
Application

Used for silk, acrylic, tannin mordant dyeing cotton dyeing, also can be used for leather, paper, hemp and glue directly printing and dyeing, the discharge printing.

CIA constitution

BASIC YELLOW 2

CAS No.

2465-27-2

Appearance

Yellow

Color Index Number:

41000

Product Name

BASIC RHODAMINE B

CIA constitution

BASIC VIOLET 10

básico Rhodamine B Tolet 10 Fabricante Fornecedor Exportador
CAS No.

81-88-9

Appearance

Violet

Color Index Number:

45170

Product Name

BASIC METHYL VIOLET

CIA constitution

BASIC VIOLET 1

básico Methyl Tolet 1 Fabricante Fornecedor Exportador
CAS No.

8004-87-3

Appearance

Green crystalline powder with metal lustre

Color Index Number:

42535

Product Name

BASIC METHYL
VIOLET Liquid 50%

CIA constitution

BASIC VIOLET 1

básico Methyl Tolet Liquid 50% 1 Fabricante Fornecedor Exportador
CAS No.

8004-87-3

Appearance

Green crystalline powder with metal lustre

Color Index Number:

42535

Product Name

BASIC CRYSTAL
VIOLET

CIA constitution

BASIC VIOLET 3

básico Crystal Tolet 3 Fabricante Fornecedor Exportador
Application

This dye is exclusively used in forensics and to develop fingerprints.

CAS No.

548-62-9

Appearance

Green crystalline powder with metal lustre

Color Index Number:

42555

Product Name

BASIC CRYSTAL
VIOLET Liquid 50%

CIA constitution

BASIC VIOLET 3

básico Crystal Tolet Liquid 50% 3 Fabricante Fornecedor Exportador
Application

This dye is exclusively used in forensics and to develop fingerprints.

CAS No.

548-62-9

Appearance

Green crystalline powder with metal lustre

Color Index Number:

42555

Product Name

BASIC ETHYL
VIOLET

CIA constitution

BASIC VIOLET 4

básico Ethyl Tolet 4 Fabricante Fornecedor Exportador
Application

The strong sulfuric acid in orange, yellow to orange for diluted green. The dye solution to join sodium hydroxide have grey purple precipitation.

CAS No.

2390-59-2

Appearance

Blue purple

Color Index Number:

42600

Product Name

BASIC ETHYL
VIOLET Liquid

CIA constitution

BASIC VIOLET 4

básico Ethyl Tolet Liquid 4 Fabricante Fornecedor Exportador
Application

The strong sulfuric acid in orange, yellow to orange for diluted green. The dye solution to join sodium hydroxide have grey purple precipitation.

CAS No.

2390-59-2

Appearance

Blue purple

Color Index Number:

42600

Product Name

BASIC MALACHITE
GREEN

CIA constitution

BASIC GREEN 4

básico Malachite Verde 4 Fabricante Fornecedor Exportador
CAS No.

2437-29-8

Appearance

Dark green crystals with a metallic luster

Color Index Number:

42000

Product Name

BASIC MALACHITE
GREEN Liquid 50%

CIA constitution

BASIC GREEN 4

básico Malachite Verde Liquid 50% 4 Fabricante Fornecedor Exportador
CAS No.

2437-29-8

Appearance

Dark green crystals with a metallic luster

Color Index Number:

42000

Product Name

BASIC BRILLIANT
GREEN

CIA constitution

BASIC GREEN 1

básico Brilliant Verde 1 Fabricante Fornecedor Exportador
CAS No.

633-03-4

Appearance

Dark green crystals with a metallic luster

Color Index Number:

42040

Product Name

BASIC BRILLIANT
GREEN Liquid 50%

CIA constitution

BASIC GREEN 1

básico Brilliant Verde Liquid 50% 1 Fabricante Fornecedor Exportador
CAS No.

633-03-4

Appearance

Dark green crystals with a metallic luster

Color Index Number:

42040

to know our other products